Ligne microstrip

Cette calculatrice permet de déterminer l’impédance caractéristique d’une ligne microstrip, utile pour les ingénieurs RF et les concepteurs de circuits imprimés afin de garantir un transfert optimal du signal et un appariement correct des impédances.

Ligne microstrip

m
m

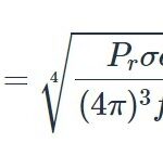
Microstrip Impedance formula

Pour W/H < 1 :

εe = (εr + 1)/2 + (εr – 1)/2 * [ 1/sqrt(1 + 12*(H/W)) + 0.4*(1 – W/H)^2 ]

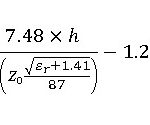
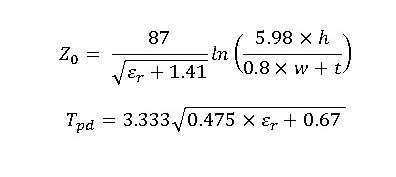
Zo = (60 / sqrt(εe)) * ln( 8*(H/W) + 0.25*(W/H) )

Pour W/H ≥ 1 :

εe = (εr + 1)/2 + (εr – 1)/2 * [ 1 / sqrt(1 + 12*(H/W)) ]

Zo = 120 * π / ( sqrt(εe) * [ (W/H) + 1.393 + (2/3)*ln(W/H + 1.444) ] )

εr est la permittivité relative du substrat, W la largeur de la ligne, H la hauteur du substrat, et Zo l’impédance caractéristique de la ligne microstrip.

Exemple : Ligne microstrip étroite W/H = 0.5, εr = 4.4, H = 1.6 mm

Calcul de εe et Zo pour une ligne étroite :

εe = (4.4 + 1)/2 + (4.4 – 1)/2 * [ 1/sqrt(1 + 12*(1.6/0.8)) + 0.4*(1 – 0.8/1.6)^2 ] ≈ 3.03

Zo = (60 / sqrt(3.03)) * ln( 8*(1.6/0.8) + 0.25*(0.8/1.6) ) ≈ 50 Ω

Exemple : Ligne microstrip large W/H = 2, εr = 4.4, H = 1.6 mm

Calcul de εe et Zo pour une ligne large :

εe = (4.4 + 1)/2 + (4.4 – 1)/2 * [ 1 / sqrt(1 + 12*(1.6/3.2)) ] ≈ 4.01

Zo = 120 * π / ( sqrt(4.01) * [ (3.2/1.6) + 1.393 + (2/3)*ln(3.2/1.6 + 1.444) ] ) ≈ 60 Ω

Principaux usages de la calculatrice

  • Conception de lignes microstrip pour circuits imprimés RF
  • Calcul précis de l’impédance caractéristique
  • Optimisation de l’appariement d’impédance pour la transmission du signal
  • Évaluation de l’effet du substrat et de la géométrie sur l’impédance