La Calculatrice FSPL permet de déterminer la perte de signal en espace libre entre un émetteur et un récepteur en fonction de la distance, de la fréquence et des gains d’antenne. Cet outil est essentiel pour les ingénieurs RF et les techniciens qui souhaitent analyser la propagation des signaux et optimiser les performances des systèmes de communication sans fil.
Formule de Calcul FSPL
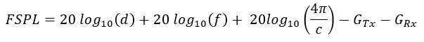
FSPL(dB) = 20 × log10(d) + 20 × log10(f) + 92,45 − Gtx − Grx
Explication de la Formule
La formule calcule la perte de signal en espace libre, où d est la distance entre l’émetteur et le récepteur en kilomètres, f la fréquence en GHz, Gtx le gain de l’antenne émettrice et Grx le gain de l’antenne réceptrice. Elle permet de prévoir l’atténuation du signal et d’identifier les besoins de compensation pour maintenir une communication efficace.

Exemples de Calcul
Exemple 1 : d = 5 km, f = 2 GHz, Gtx = 10 dB, Grx = 10 dB. FSPL ≈ 128,45 dB
Exemple 2 : d = 0,5 km, f = 900 MHz, Gtx = 5 dB, Grx = 5 dB. FSPL ≈ 106,99 dB
Utilisations de la Calculatrice FSPL
- Conception et optimisation des systèmes de communication sans fil
- Évaluation de la portée et de la qualité du signal
- Analyse des pertes de propagation pour les réseaux RF et micro-ondes
- Calcul des exigences de gain d’antenne pour maintenir la connectivité
- Formation et simulations pour les ingénieurs RF et étudiants en télécommunications