La Calculatrice de Ligne de Vue permet de déterminer la distance maximale visible entre une antenne et l’horizon, ainsi que la portée de service radio. Cet outil est essentiel pour les ingénieurs et techniciens travaillant sur des systèmes de communication sans fil, des tours de télécommunication ou des réseaux radar.
Formule de Calcul
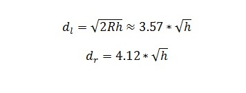
Distance de ligne de vue (dₗ) = 3,57 × √hauteur de l’antenne (en m)
Portée de l’horizon radio (dᵣ) = 4,12 × √hauteur de l’antenne (en m)
Explication des Formules
La distance de ligne de vue représente la portée théorique directe jusqu’à l’horizon. La portée de l’horizon radio inclut un facteur de courbure terrestre et d’autres conditions atmosphériques qui permettent de transmettre le signal légèrement plus loin. Ces formules utilisent la racine carrée de la hauteur de l’antenne pour refléter la relation physique entre hauteur et distance visible.

Exemples de Calcul
Exemple 1 : Hauteur de l’antenne = 10 m. dₗ ≈ 11,30 km, dᵣ ≈ 13,04 km
Exemple 2 : Hauteur de l’antenne = 50 m. dₗ ≈ 25,26 km, dᵣ ≈ 29,13 km
Applications de la Calculatrice de Ligne de Vue
- Planification de réseaux de télécommunication et de tours radio
- Détermination de la portée des radars et systèmes sans fil
- Étude de la visibilité entre antennes dans les environnements urbains ou ruraux
- Optimisation des hauteurs d’installation pour couverture maximale
- Outil pédagogique pour la formation en télécommunications et en ingénierie RF