La Calculatrice de Largeur Microstrip permet de déterminer la largeur nécessaire d’une ligne microstrip pour atteindre une impédance cible donnée. Elle prend en compte l’épaisseur du traceur, l’épaisseur du diélectrique et la constante diélectrique relative, offrant un outil pratique pour les ingénieurs RF et les concepteurs de circuits imprimés.
Formule pour la Largeur du Microstrip
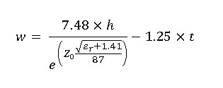
W = (7,48 × H) / exp( Z0 × √(εr + 1,41) / 87 ) – 1,25 × t
Explication de la Formule
La formule calcule la largeur W en fonction de l’impédance cible Z0, de l’épaisseur du traceur t, de l’épaisseur du diélectrique H et de la constante diélectrique relative εr. Elle permet de dimensionner précisément les lignes microstrip pour maintenir l’impédance souhaitée sur les circuits imprimés RF. La soustraction de 1,25 × t ajuste la largeur pour compenser l’effet de l’épaisseur du traceur.

Exemples de Calcul
Exemple 1 : Z0 = 50 Ω, t = 0,5 mil, H = 10 mil, εr = 4,5. Résultat : W ≈ 7,12345678 mils
Exemple 2 : Z0 = 75 Ω, t = 1 mil, H = 12 mil, εr = 3,8. Résultat : W ≈ 5,98765432 mils
Applications de la Calculatrice Microstrip
- Conception de lignes microstrip sur circuits imprimés RF
- Optimisation de l’impédance pour la compatibilité des signaux haute fréquence
- Dimensionnement précis des traces en fonction du diélectrique et de l’épaisseur du cuivre
- Analyse et prototypage de circuits RF pour les systèmes de communication
- Outil pédagogique pour l’apprentissage de la conception microstrip